利用导数研究不等式恒成立求解参数的范围问题,是高考导数部分的重难点,要求考生具备解决复杂问题的思维能力和综合分析能力。此类问题主要考查分类讨论、函数与方程、转化与化归、数形结合等数学思想,以及数学抽象、逻辑推理、数学建模、数学运算等核心素养。本文以2020 年高考全国Ⅰ卷第21 题作为实例,由于该题无法直接运用参变分离法进行求解,故深入探讨了六种在无法参变分离时常用的解题方法,旨在为解决此类问题寻找最优策略。
一、试题呈现
(2020年高考全国Ⅰ卷第21题)已知函数f(x)=aex-1-ln x+ln a。
(1)当a=e时,求曲线y=f(x)在点(1,(f1))处的切线与两坐标轴围成的三角形的面积;
(2)若不等式f(x)≥1恒成立,求a的取值范围。
分析 本题第(1)问求解切线方程与两坐标轴围成的三角形的面积,其解法常规,故不详述。第(2)问聚焦不等式恒成立求解参数范围,此类问题在日常练习中较为常见,可先让学生尝试常规解法,如若遇阻,再考虑探索其他解决途径,以确保问题得以顺利解决。
二、解法探究
(1)略。
(2)解法1:隐零点法
∵f(x)=aex-1-ln x+ln a,∴f(′x)=aex-1-
,且a >0。
设g(x)=f (′x),则g('x)=aex-1+
>0,
∴g(x)在(0,+∞)上单调递增,即f ('x)在(0,+∞)上单调递增,
当a=1时,f(′1)=0,∴f(x)min=f(1)=1,∴f(x)≥1成立。

∴f(x0)>1,∴f(x)≥1恒成立,
当0 <a <1时,f(1)=a+ln a <a <1,∴f(1)<1,f(x)≥1不是恒成立。
综上所述,a的取值范围是[1,+∞)。
点评:观察题目,发现参数a 无法直接分离,因此首先考虑采用通用且熟悉的含参分析方法,即利用导数判断函数f(x)的单调性,并结合f(x)min ≥0来求解。此方法是解决此类问题的通性通法,可作为学生的一种基本解题思路。
解法2:分类讨论法
①若a=1时,f(x)=ex-1-ln x,∴f(′x)=ex-1-
是(0,+∞)上的增函数,且f(′1)=0,当x ∈(0,1)时,f (′x)<0;当x ∈(1,+∞)时,f (′x)>0,所以f(x)min=f(1)=1,f(x)≥1成立。
②若a >1时,f(x)=aex-1-ln x+ln a ≥ex-1-ln x,由①知,此时f(x)≥1成立。
③若0 <a <1时,f(1)=a+ln a <1,不合题意,舍去。
综上所述,a的取值范围是[1,+∞)。
点评:因题目出现ln a,a 作为对数的真数较为特殊,所以可分a=1,a >1,0 <a <1 三种情况进行分类讨论。该解法利用导数研究函数的单调性进行判断或求解,需要考生具有较强的观察能力和综合分析能力,并在解题过程中充分发挥导数的工具作用。
解法3:指对数切线不等式放缩法
由f(x)≥1得aex-1-ln x+ln a ≥1,即aex-1 ≥ln x+1-ln a。①
由指数不等式ex ≥x+1(证明略),得ex-1 ≥x,∵a >0,∴aex-1 ≥ax,当且仅当x=1 时取等号,又由指数不等式ln x+1 ≤x(证明略),当且仅当x=1 时取等号,则①可化为ax ≥x-ln a,故可得(a-1)x ≥-ln a(x >0)。
当a ≥1时,(a-1)x ≥0,-ln a ≤0,不等式(a-1)x≥-ln a恒成立;
当0 <a <1时,(a-1)x <0,-ln a >0,故不等式(a-1)x ≥-ln a不成立。
综上所述,a的取值范围是[1,+∞)。
点评:题目出现导数中常见的ex和ln x,因此想到ex≥x+1 和ln x ≤x-1 这两个切线不等式求解。该解法在对不等式进行推导变形的基础上,进行了合理的放缩。一般情况下,f(x)≥g(x)并不等价于f(x)min ≥g(x)max,但此题较为特殊,两个不等式刚好在x=1 处同时取得等号,因此其同时放缩是成立的。该解法虽不属于通性通法,但胜在求解过程颇为简洁且巧妙,教师可在教学中渗透不等式的证明方法。
解法4:等价转换同构法
由f(x)≥1得aex-1-ln x+ln a ≥1,即elna+x-1+ln a+x-1 ≥lnx+x,而ln x+x=elnx+ln x,所以elna+x-1+ln a+x-1 ≥elnx+ln x。
令h(m)=em+m,则h(′m)=em+1 >0,所以h(m)在R上单调递增。
由elna+x-1+ln a+x-1 ≥elnx+ln x,可知h(ln a+x-1)≥h(ln x),所以ln a+x-1 ≥ln x,所以ln a ≥(ln x- x+1)max。
令F(x)=ln x-x+1,则F(′x)=
所以当x ∈(0,1)时,F(′x)>0,F(x)单调递增;
当x ∈(1,+∞)时,F(′x)<0,F(x)单调递减,
所以[F(x)]max=F(1)=0,则ln a ≥0,即a ≥1,
所以a的取值范围是[1,+∞)。
点评:因aex-1可化为elna+x-1,且不等式中也含有ln a和-1,所以两边同时加上x,利用同构思想将不等式化成elna+x-1+ln a+x-1 ≥elnx+ln x,再借助函数h(m)=em+m 的单调性,把复杂的不等式简化进而分离出参数,二次构造函数并求导,最后利用最值法求出参数的取值范围。该解法对学生观察能力、代数式的变形能力有较高的要求,是本题较优的解法。
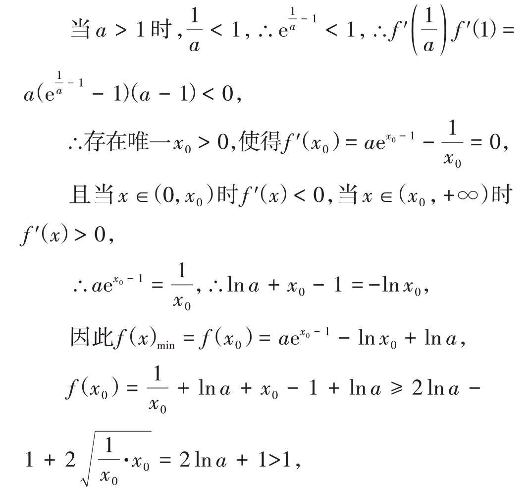
解法5:换元同构法
由题意知a >0,x >0,令aex-1=t,所以ln a+x-1=lnt,即ln a=ln t- x+1,则f(x)=aex-1-ln x+ln a=t-ln x+ln t-x+1。
由于f(x)≥1,即t-ln x+ln t- x+1 ≥1,得t+ln t ≥x+lnx,而y=x+ln x在x ∈(0,+∞)时为增函数,故t ≥x,即aex-1 ≥x,分离参数后有a ≥

当0 <x <1时,g(′x)>0,g(x)单调递增;当x>1时,g(′x)<0,g(x)单调递减。所以当x=1时,g(x)=
取得最大值为g(1)=1。
综上所述,a的取值范围是[1,+∞)。
点评:当题目含有参数a 无法分离时,可以把无法分离的aex-1整体换元,令aex-1=t,再同构,将原不等式化为t+ln t ≥x+ln x,最后根据函数y=x+ln x 的单调性以及分离参数法求出a 的取值范围。此解法同解法4一样,正所谓“同构新天地”。
解法6:必要性探路法
因为定义域为(0,+∞),且f(x)≥1,所以f(1)≥1,即a+ln a ≥1。令S(a)=a+ln a,则S(′a)=1+
>0,所以S(a)在(0,+∞)上单调递增。
因为S(1)=1,所以当a ≥1时,有S(a)≥S(1),即a+ln a ≥1。
下面证明当a ≥1时,f(x)≥1恒成立。
令T(a)=aex-1-ln x+ln a,只需证当a ≥1时,T(a)≥1恒成立。
因为T(′a)=ex-1+
>0,所以T(a)在[1,+∞)上单调递增,则[T(a)]min=T(1)=ex-1-ln x。
因此要证明a ≥1时,T(a)≥1 恒成立,只需证明[T(a)]min=ex-1-ln x ≥1。
设g(x)=ex-1-ln x,则g(′x)=ex-1-
,可知g(′x)在(0,+∞)上单调递增且g(′1)=0,当0 <x <1时,g(′x)<0,g(x)单调递减;当x >1时,g(′x)>0,g(x)单调递增。
所以g(x)≥g(1)=1,即[T(a)]min=ex-1-ln x ≥1成立,
故a ≥1时,f(x)≥1恒成立。
当0 <a <1时,因为f(1)=a+ln a <1,显然不满足f(x)≥1恒成立。
综上所述,a的取值范围是[1,+∞)。
点评:在其他方法均失效时,可以考虑采用必要性探路法。观察函数中有ln x,则可知当取特殊值x=1时,得出关于a 的不等式,从而得到a 的取值范围的必要性,再由特殊到一般,可得a 的取值范围,最后进行充分性证明即可。此解法大大降低了解题的难度。
三、变式演练


且当x ∈(0,x0),f(′x)<0,函数f(x)在(0,x0)上单调递减;
当x ∈(x0,+∞),f(′x)>0,函数f(x)在(x0,+∞)上单调递增,

点评:利用导数证明不等式时,转化为证明左边函数的最小值大于等于零即可,因此想到通过常规的求导找最值,最后利用隐零点找到函数的最小值。
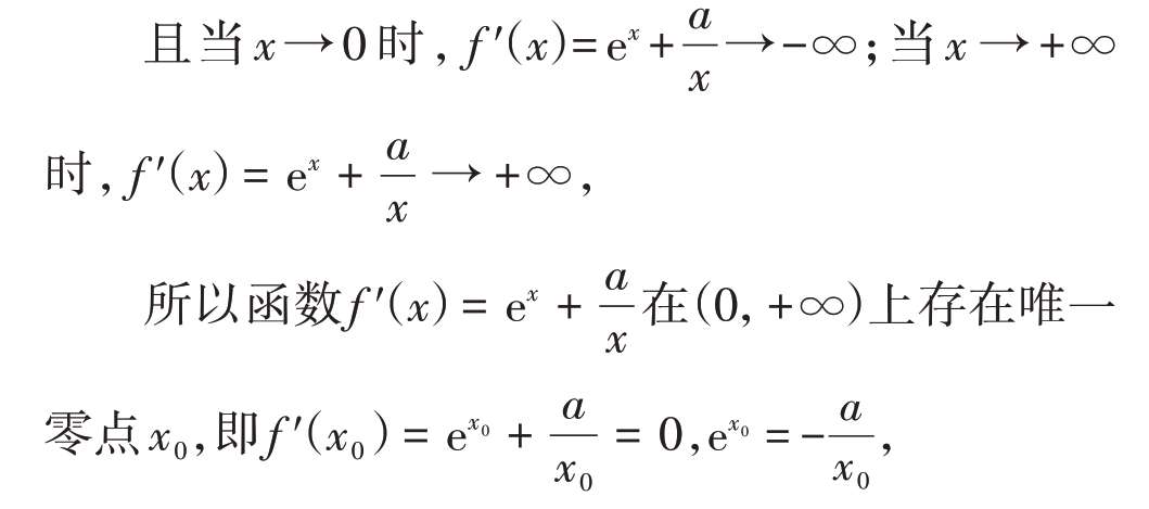
变式2 已知函数f(x)=aex。当a >0,x >2时,f(x)>ln
-2,求a的取值范围。
解:当a >0时,由f(x)>ln
-2,得aex+x+ln a>ln(x-2)+x-2,即ex+lna+x+ln a >eln(x-2)+ln(x-2),①令g(x)=ex+x,不等式①即为g(x+ln a)>g(ln(x-2)),因为g(′x)=ex+1 >0,所以函数g(x)在(-∞,+∞)上单调递增,所以x+ln a >ln(x-2),即lna >ln(x-2)-x,
令h(x)=ln(x-2)- x,则h(′x)=
-1=
,当2 <x <3时,h(′x)>0,函数h(x)单调递增,当x >3时,h(′x)<0,函数h(x)单调递减,
当x=3时,函数h(x)取最大值h(x)=-3,
所以ln a >-3,解得a >
点评:题目出现指对函数,可通过构造函数,把不等式转化为确定函数的单调性,利用单调性得函数值的大小,为此需要求导,利用导数确定单调性,由函数值的大小确定变量的大小,最后再通过分离参数得到参数的范围。
变式3 已知f(x)=ln x- x,是否存在正整数a,使得x2ex-2 ln x-ax-1 ≥0,对一切x >0 恒成立?若存在,求出a的最大值;若不存在,请说明理由。
解:令g(x)=ex- x-1,则g(′x)=ex-1,
当x >0时,g(′x)>0,则g(x)在(0,+∞)上单调递增;当x <0时,g(′x)<0,则g(x)在(-∞,0)上单调递减,故g(x)≥g(0)=0,所以ex ≥x+1,当x=0时取等号。

点评:本题先通过分离参数,但分离后的函数比较繁杂,含有ex和ln x,因此想到根据已知条件进行适当放缩(或利用常见放缩结论),对原不等式同解变形,从而实现化繁为简。
通过探究上述问题的解决方法,我们总结出利用导数解决不等式恒成立求参数范围问题的基本途径。此举旨在帮助高考复习中的学生系统掌握各类解题方法,从而提升解题效率。

最新留言
古人果然很有智慧
学习了,谢谢分享
好文章值得一读,谢谢
谢谢分享
谢谢份分享…
希望师生联盟能成为大家网络的乐园。